ID: com.companyname.solve_quadratics
Version: 1.0.1
Size: 0 Mb
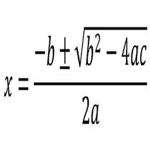
Quadratic Equation Solver Screen Preview
Quadratic Equation Solver Details
Solve quadratic functions using this app.Download Quadratic Equation Solver 1.0.1 APK
Search terms:
Quadratic Equation Solver for pc
Quadratic Equation Solver mod apk
Quadratic Equation Solver full version
Quadratic Equation Solver full data